Поперечные сечения и их геометрические характеристики
Поперечные сечения и их геометрические характеристики
Статические моменты сечения
Возьмем некоторое поперечное сечение бруса (рис. 1). Свяжем его с системой координат х, у и рассмотрим два следующих интеграла:


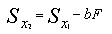
где индекс F у знака интеграла указывает на то, что интегрирование ведется по всей площади сечения. Каждый из интегралов представляет собой сумму произведений, элементарных площадок dF на расстояние до соответствующей оси (х или у). Первый интеграл называется статическим моментом сечения относительно оси х, а второй — относительно оси у. Размерность статического момента см3. При параллельном переносе осей величины статических моментов меняются. Рассмотрим две пары параллельных осей, x1, y1 и x2, y2.Пусть расстояние между осями x1 и x2 равно b, а между осями y2 и y2 равно а (рис. 2). Положим, что площадь сечения F и статические моменты относительно осей x1 и y1, т. е. Sx1, и Sy1 заданы. Требуется определить Sx2 и Sy2.
Очевидно, х2 = x1 — а, y2 = y1 — b. Искомые статические моменты будут равны

или

Таким образом, при параллельном переносе осей статический момент меняется на величину, равную произведению площади F на расстояние между осями.
Рассмотрим более детально, например, первое из полученных выражений:

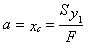
Величина b может быть любой: как положительной, так и отрицательной. Поэтому ее всегда можно подобрать (причем единственным образом) так, чтобы произведение bF было равно Sx1.Тогда статический момент Sx2, относительно оси x2 обращается в нуль.
Ось, относительно которой статический момент равен нулю, называется центральной. Среди семейства параллельных осей она является единственной, и расстояние до этой оси от некоторой, произвольно взятой, оси х1 равно

Аналогично для другого семейства параллельных осей


Точка пересечения центральных осей называется центром тяжести сечения. Путем поворота осей можно показать, что статический момент относительно любой оси, проходящей через центр тяжести, равен нулю.
Нетрудно установить тождественность данного определения и обычного определения центра тяжести как точки приложения равнодействующих сил веса. Если уподобить рассмотренное сечение однородной пластинке, то сила веса пластинки во всех точках будет пропорциональна элементарной площади dF, а момент сил веса относительно некоторой оси — пропорционален статическому моменту. Этот момент сил веса относительно оси, проходящей через центр тяжести, равен нулю. В нуль обращается, следовательно, и статический момент относительно центральной оси.
Моменты инерции сечения
В дополнение к статическим моментам рассмотрим еще три следующих интеграла:

Через х и у обозначены текущие координаты элементарной площадки dF в произвольно взятой системе координат х, y. Первые два интеграла называются осевыми моментами инерции сечения относительно осей х и y соответственно. Третий интеграл называется центробежным моментом инерции сечения относительно осей х, у. Размерность моментов инерции см4.
Осевые моменты инерции всегда положительны, поскольку положительной считается площадь dF. Центробежный момент инерции может быть как положительным, так и отрицательным, в зависимости от расположения сечения относительно осей х, у.
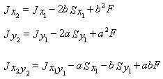
Выведем формулы преобразования моментов инерции при параллельном переносе осей. Будем считать, что нам заданы моменты инерции и статические моменты относительно осей х1 и y1. Требуется определить моменты инерции относительно осей x2 и y2

Подставляя сюда х2 = x1 — а и y2 = y1 — b и раскрывая скобки (согласно (1) и (2)) находим

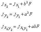
Если оси x1 и y1 — центральные, то Sx1 = Sy1 = 0. Тогда

Следовательно, при параллельном переносе осей (если одна из осей — центральная) осевые моменты инерции меняются на величину, равную произведению площади на квадрат расстояния между осями.
Из первых двух формул (4) следует, что в семействе параллельных осей минимальный момент инерции получается относительно центральной оси (а = 0 или Ь = 0). Поэтому легко запомнить, что при переходе от центральных осей к нецентральным осевые моменты инерции увеличиваются и величины a2F и b2F следует к моментам инерции прибавлять, а при переходе от нецентральных осей к центральным — вычитать.
При определении центробежного момента инерции по формулам (4) следует учитывать знак величин а и b. Можно, однако, и сразу установить, в какую сторону меняется величина Jxy при параллельном переносе осей. Для этого следует иметь в виду, что часть площади, находящаяся в I и III квадрантах системы координат x1y1, дает положительное значение центробежного момента, а части, находящиеся в II и IV квадрантах, дают отрицательные значения. Поэтому при переносе осей проще всего устанавливать знак слагаемого abF в соответствии с тем, какие из четырех слагаемых площадей увеличиваются и какие — уменьшаются.
ГЛАВНЫЕ ОСИ И ГЛАВНЫЕ МОМЕНТЫ ИНЕРЦИИ

Посмотрим, как изменяются моменты инерции при повороте осей координат. Положим, даны моменты инерции некоторого сечения относительно осей х, у (не обязательно центральных). Требуется определить Ju, Jv, Juv — моменты инерции относительно осей и, v, повернутых относительно первой системы на угол a.(рис.3)
Проектируем замкнутый четырехугольник ОАВСО на оси и и v. Так как проекция ломаной линии равна проекции замыкающей, находим:
В выражениях (3), подставив вместо x1 и y1 соответственно u и v, исключаем u и v

откуда

Рассмотрим два первых уравнения. Складывая их почленно, получим, что сумма осевых моментов инерции относительно двух взаимно перпендикулярных осей не зависит от угла a и при повороте осей остается постоянной. При этом
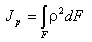
где r — расстояние от начала координат до элементарной площадки (рис. 3). Таким образом,
где Jp— полярный момент инерции

величина которого, естественно, не зависит от поворота осей ху.
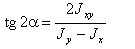
С изменением угла поворота осей a каждая из величин Ju и Jv меняется, а сумма их остается неизменной. Следовательно, существует такое a, при котором один из моментов инерции достигает своего максимального значения, в то время как другой момент инерции принимает минимальное значение.
Дифференцируя выражение Ju (5) по a и приравнивая производную нулю, находим

При этом значении угла a один из осевых моментов будет наибольшим, а другой — наименьшим. Одновременно центробежный момент инерции Juv при указанном угле a обращается в нуль, что легко устанавливается из третьей формулы (5).
Оси, относительно которых центробежный момент инерции равен нулю, а осевые моменты принимают экстремальные значения, называются главными осями. Если они к тому же являются центральными, то тогда они называются главными центральными осями. Осевые моменты инерции относительно главных осей называются главными моментами инерции. Для определения этого первые две формулы (5) перепишем в виде

Далее исключаем при помощи выражения (6) угол a. Тогда

Верхний знак соответствует максимальному моменту инерции, а нижний — минимальному. После того как сечение вычерчено в масштабе и на чертеже показано положение главных осей, нетрудно установить, которой из двух осей соответствует максимальный и которой — минимальный момент инерции.
Если сечение имеет ось симметрии, то эта ось всегда будет главной .Центробежный момент инерции части сечения, расположенной по одну сторону от оси, будет равен моменту части, расположенной по другую сторону, но противоположен ему по знаку. Следовательно, Jху= 0 и оси х и у являются главными.
Дата добавления: 27.12.2000